×

云南新高考分数怎么算赋分?

未分类

云南新高考分数怎么算赋分?

24小时热点资讯 24小时热点资讯 发表于2025-06-09 浏览10 评论0

  云南新高考分数怎么算赋分?

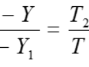
  等级赋分以30分作为赋分起点,满分为100分。

  将原始成绩分为五个等级分数区间:100~86分、85~71分、70~56分、55~41分、40~30分

  将考生的原始分从高到低划分为A、B、C、D、E共5个等级,各等级人数所占比例分别约为15%、35%、35%、13%和2%。

  例如,原始分为75分,科目B等级的分数区间为80~64分,因此原始分75分按比例应划分到B等级,该等级赋分区间为85~71分,按照转换公式:

未分类

西安理工大学2025年本科招生章程

24小时热点资讯 24小时热点资讯 发表于2025-06-09 浏览10 评论0

  西安理工大学2025年本科招生章程

  第一章 总则

  第一条为保证我校普通本科招生工作的顺利进行,规范本科招生工作行为,维护考生合法权益,根据《中华人民共和国教育法》、《中华人民共和国高等教育法》等相关法律和教育部有关规定,结合我校本科招生工作实际,制定本章程。

  第二条 学校名称:西安理工大学。

  英文名称:Xi’an University of Technology。

  地址:西安市金花南路5号。

  校区分布:金花校区位于西安市金花南路5号,曲江校区位于西安市雁翔路58号。

未分类

太原市育星幼儿园招生多少名学生(持续更新)

24小时热点资讯 24小时热点资讯 发表于2025-06-09 浏览10 评论0

  招生计划:2025年计划面向社会招收新生100名。

  (一)优先录取:

  1.户籍在汇丰派出所,且户籍和住所在兴华北小区西区满一年的适龄幼儿(幼儿户籍必须与父母或祖父母、外祖父母在一起)

  重要提示:派出所落户时间和房产(购房合同)时间截止2024年8月31日(户籍和房产拥有者信息要对应)2.军民共建单位(中国人民解放军63729部队)现役军官子女。

  (二)空余录取:太原市六城区(杏花岭区、迎泽区、万柏林区、小店区、晋源区、尖草坪区)户籍适龄幼儿。

未分类

太原育才幼儿园招生范围是哪里?

24小时热点资讯 24小时热点资讯 发表于2025-06-09 浏览12 评论0

  太原育才幼儿园招生范围是哪里?

  幼儿户籍所在地为老军营派出所,家庭住址在老军营小区一、二、三社区。

  太原育才幼儿园招生方式是什么?

  6月8日—6月15日,在幼儿园门口、老军营小区显著位置公布招生简章,并在太原市育才幼儿园微信公众号、太原市教育局网站(http://jyj.taiyuan.gov.cn)中“2025公办幼儿园报名系统”的“招生简章”栏目中同时公布。

  》》》推荐阅读:

  太原幼儿园招生攻略专题入口

未分类

太原市直属公办幼儿园审核最新通知(持续更新)

24小时热点资讯 24小时热点资讯 发表于2025-06-09 浏览13 评论0

  育英幼儿园

  》》》点击最新的育英幼儿园审核通知查询

  育星幼儿园

  》》》点击最新的审核通知查询

  育红幼儿园

  》》》点击最新的审核通知查询

  育才幼儿园

  》》》点击最新的审核通知查询

  育蕾幼儿园

  》》》点击最新的审核通知查询

  》》》推荐阅读:

  太原幼儿园招生攻略专题入口

  太原市教育局幼儿园招生入学报名入口

未分类

太原市直属公办幼儿园招生范围怎么划分?

24小时热点资讯 24小时热点资讯 发表于2025-06-09 浏览12 评论0

  太原市育英幼儿园

  招生范围:

  (一)优先录取:户籍在三桥派出所,且住所在金刚里南区的适龄幼儿(幼儿必须与父母或祖父母、外祖父母在同一户籍)。

  (二)空余录取:太原市城区户籍适龄幼儿。

  太原市育星幼儿园

  (一)优先录取:

  1.户籍在汇丰派出所,且户籍和住所在兴华北小区西区满一年的适龄幼儿(幼儿户籍必须与父母或祖父母、外祖父母在一起)。

  重要提示:派出所落户时间和房产(购房合同)时间截止2024年8月31日(户籍和房产拥有者信息要对应)。

未分类

太原市直属幼儿园招生简章汇总(更新中)

24小时热点资讯 24小时热点资讯 发表于2025-06-09 浏览11 评论0

  育英幼儿园

  详细招生简章:点击查看

  育星幼儿园

  详细招生简章:点击查看

  育红幼儿园

  详细招生简章:点击查看

  育才幼儿园

  详细招生简章:点击查看

  育蕾幼儿园

  详细招生简章:点击查看

  育苗幼儿园

  详细招生简章:点击查看

  》》》推荐阅读:

  太原幼儿园招生攻略专题入口

  太原市教育局幼儿园招生入学报名入口

未分类

太原市直属公办幼儿园计划招多少人?

24小时热点资讯 24小时热点资讯 发表于2025-06-09 浏览10 评论0

  太原市直属公办幼儿园计划招多少人?

  ➤太原市育蕾幼儿园

  2025年计划面向社会招收新生75名。

  ➤太原市育才幼儿园

  2025年计划招收新生100名。

  ➤太原市育英幼儿园

  2025年计划面向社会招收新生125名。

  ➤太原市育星幼儿园

  2025年计划面向社会招收新生100名。

  ➤太原市育红幼儿园

  2025年计划面向社会招收新生75名。

未分类

河北2025军队院校招收普通高中毕业生政治考核指南

24小时热点资讯 24小时热点资讯 发表于2025-06-09 浏览12 评论0

  ▶政治考核对象

  政治考核对象为志愿报考军队院校(不含陆军工程大学人防系统定向招生计划、解放军院校招飞计划、空军军医大学普通本科批计划、海军军医大学普通本科批计划)的考生,基本要求:

  ①参加2025年河北省普通高等学校招生考试的普通高中应届、往届毕业生;

  ②志愿从事国防事业,未婚,年龄不低于16周岁、不超过20周岁(2005年9月1日至2009年8月31日期间出生);

  ③高中阶段体质测试成绩达到及格以上(普通高中学业水平考试合格性考试体育与健康科目成绩为“合格”)。

未分类

天津市滨海新区2025年秋季学期小学转学无空余学位学校

24小时热点资讯 24小时热点资讯 发表于2025-06-09 浏览12 评论0

  天津市滨海新区2025年秋季学期小学转学无空余学位学校

  根据教育部印发的《县域义务教育优质均衡发展督导评估办法》中的相关指标,我区以下学校或年级不接收转入学生:

  一、以下学校不接收转入学生:

  塘沽育才学校、塘沽云山道学校、天津师范大学滨海附属学校、塘沽未来学校、塘沽浙江路小学、塘沽实验小学、塘沽胡家园学校(除2022级、2024级)、塘沽上海道小学;

  汉沽盐场小学;

  大港二小、大港东城小学、大港福源小学(除2020级、2021级)。

未分类

天津市滨海新区2025年秋季学期小学转学安置在哪?

24小时热点资讯 24小时热点资讯 发表于2025-06-09 浏览13 评论0

  天津市滨海新区2025年秋季学期小学转学安置在哪?

  答:转学安置办法如下:

  1.本区户籍学生申请转入学校没有空余学位,如果家长同意统筹安置,学校可受理学生转学申请;申请转入学校有空余学位,当转学人数超过学校可供给学位时,教体局将进行统筹安置。统筹安置方式包括本片域安置和跨片域安置两种方式。

  2.2024年11月已经预约登记转学的随迁子女,教体局将进行统筹安置,统筹方式包括本片域安置和跨片域安置两种方式。

  推荐阅读:天津市滨海新区2025-2026学年第一学期小学转学规定

未分类

天津市滨海新区2025年秋季学期小学转学学籍怎么办?

24小时热点资讯 24小时热点资讯 发表于2025-06-09 浏览10 评论0

  天津市滨海新区2025年秋季学期小学转学学籍怎么办?

  答:学籍办理方式如下:

  转入、转出学校和双方学校学籍主管部门应当分别在10个工作日内完成学生学籍转接。办理转学具体流程如下:

  (一)对于符合转学条件的学生,转入学校通过学籍系统发起办理转学手续并核办;

  (二)转入学校所属学籍主管部门在学籍系统中核办;

  (三)转出学校在学籍系统中核办;

  (四)转出学校所属学籍主管部门在学籍系统中核办;

天津市2025中考考试时间及准考证领取方式

未分类

天津市2025中考考试时间及准考证领取方式

24小时热点资讯 24小时热点资讯 发表于2025-06-09 浏览11 评论0

  天津市2025中考考试时间及准考证领取方式

  》》中考指南

  一、天津中考考试时间

  2025年6月21日(周六)9:00-11:00语文,14:00-15:40数学;

  6月22日(周日)9:00-11:00化学、物理,14:00-15:30外语;

  6月23日(周一)9:00-11:00道德与法治、历史,14:00-16:00地理、生物学。

  二、中考准考试领取方式

  由学校统一下发

未分类

太原小店区育华幼儿园招生方式(时间+网址+材料)

24小时热点资讯 24小时热点资讯 发表于2025-06-09 浏览10 评论0

  报名时间:

  2025年6月16日8:00-6月22日18:00

  报名网址:

  符合报名条件的适龄幼儿家长请登录太原市教育局官网(http://jyj.taiyuan.gov.cn),点击“2025公办幼儿园报名系统”图标,进入“网上报名”栏目,进行网上报名,填报信息承诺,填写网上招生报名表,并提交。

  重要提示:

  1.提交成功后,请及时记录报名序号并打印截图留存,报名序号是此次在线报名的唯一凭证,请留存好以备审核资料时给园方提供。

未分类

太原市育英幼儿园招生报名时间是什么时候?

24小时热点资讯 24小时热点资讯 发表于2025-06-09 浏览10 评论0

  网上报名

  2025年6月16日8:00—6月22日18:00,符合报名条件的适龄幼儿家长登录太原市教育局官网,点击“2025公办幼儿园报名系统”图标,进入“网上报名”栏目进行网上报名,填报信息承诺,填写网上招生报名表并提交。

  重要提示:

  1.提交成功后,请及时记录报名序号(拍照并打印留存),报名序号是此次在线报名的唯一凭证,请牢记!

  2.请如实填写《报名表》,如信息不全、不符、有误,责任自负,园方将取消报名资格。

未分类

太原市育红幼儿园审核名单及时间安排信息汇总(持续更新)

24小时热点资讯 24小时热点资讯 发表于2025-06-09 浏览13 评论0

  1.2025年6月21日、23日审核材料。

  (1)报名成功的幼儿家长于6月20日18:00-19:00、6月22日19:00-20:00登录太原市教育局官网(http://jyj.taiyuan.gov.cn)中“2025公办幼儿园报名系统”平台的“审核通知”栏目,查看来园审核名单及时间。

  (2)6月21日审核6月16日—20日16:00前报名成功的幼儿材料。

  (3)6月23日上午审核报名成功的其余幼儿材料(含16日—20日因特殊情况未来园审核的幼儿材料)。

未分类

太原市育蕾幼儿园来园审核名单及时间安排信息汇总(持续更新)

24小时热点资讯 24小时热点资讯 发表于2025-06-09 浏览11 评论0

  1.2025年6月16日——6月22日为网上报名时间,报名成功的幼儿家长于6月16日——6月22日每日下午18:30后登录太原市教育局官网(http://jyj.taiyuan.gov.cn)中“2025公办幼儿园报名系统”平台的“审核通知”栏目,查看来园审核材料名单、时间及携带材料。

  2.按照网上公布的时间和要求,幼儿家长请携以下材料来园正式审核:

  (1)网上报名序号(要求A4纸打印);

  (2)幼儿出生证明原件和复印件;

  (3)户口本原件和复印件(复印在一张A4纸的正反面,要求正面为户口首页、幼儿页,背面为和幼儿同一户籍的,幼儿父母页或祖父母页或外祖父母页);