未分类
高考多少分可以上嘉兴南湖学院
24小时热点资讯 发表于2025-06-27 浏览9 评论0
2025年浙江省高考志愿填报建议
普通类
7万名左右考生匹配度高,自主选择喜欢的专业!
选考科目不限的考生注意做好保底选择!
9万名左右考生
匹配度较高,注意专业分数梯度,建议前30个志愿填足符合选考科目要求的专业!
鼓励积极填报智能制造工程、人工智能、工业设计、新能源材料与器件等优势专业。
11万名左右考生
鼓励填报,重点考虑物理和化学均须选考的工科专业,冷热门专业结合,志愿靠前增加录取几率!
未分类
2025盐城农村订单定向医学生培养
24小时热点资讯 发表于2025-06-27 浏览8 评论0
【2025年盐城农村订单定向医学生最新培养政策】
根据国家有关政策要求,2025年及以后新入学的定向生可在应届毕业当年报考户籍所在地省域内全科医学领域全日制临床专硕或按规定参加全科等专业规范化培训(本科毕业生培训3年、专科毕业生培训2年);完成全科医学领域全日制临床专硕学习或全科等专业规范化培训后,须按照协议约定到基层卫生岗位就业并至少连续服务满6年(规范化培训时间不纳入服务年限)。定向生在规范化培训期间及服务期内不得报考全日制研究生或国有企业、机关事业单位。
未分类
2025盐城市的农村订单定向医学生承担培养任务的高校名单
24小时热点资讯 发表于2025-06-27 浏览7 评论0
【盐城市的农村订单定向医学生承担培养任务的高校】
2025年盐城市的农村订单定向医学生免费培养计划——
本科麻醉学专业由徐州医科大学承担;
本科中医学专业由南京中医药大学承担;
本科临床医学专业由扬州大学承担;
本科预防医学专业由南京医科大学康达学院承担。
专科临床医学、中医学专业由江苏医药职业学院承担;
专科针灸推拿专业由江苏卫生健康职业学院承担。
未分类
2025盐城农村医学定向生毕业就业安排
24小时热点资讯 发表于2025-06-27 浏览9 评论0
【盐城农村订单定向医学生毕业后就业安排】
有农村订单定向医学生免费培养计划的县(市、区)卫生健康部门已经与相关部门、单位加强了沟通协调,保障学生按规定毕业后的就业安排。
按定向培养协议和就业协议等规定,正常毕业的农村订单定向医学生毕业后参加户籍所在县(市、区)组织的基层机构公开招聘或“定向招聘”考试,通过考试的予以安排编制和岗位。
未能通过考试进编的农村订单定向医学生,由当地卫生健康部门根据考试成绩等情况,按照公开公平的原则安排到村医岗位就业,在服务期内只可参加本县(市、区)乡镇医院的公开招聘。
未分类
2025江苏高考志愿填报系统入口
24小时热点资讯 发表于2025-06-27 浏览7 评论0
2025江苏高考志愿填报系统入口
考生在获知高考成绩、各批次录取控制分数线、逐分段统计数据后,登录省教育考试院网站或江苏省2025年普通高考考生服务平台填报高考志愿。
1、江苏省教育考试院:https://www.jseea.cn/webfile/
2、江苏省2025年普通高考考生服务平台:https://gk.jseea.cn/login
未分类
江苏2025年高考志愿填报结束时间
24小时热点资讯 发表于2025-06-27 浏览7 评论0
江苏2025年高考志愿填报结束时间
(一)志愿填报时间
第一阶段:6月28日至7月2日(截止时间为7月2日17:00),填报本科院校专业组志愿,包括普通类本科提前批次志愿,体育类本科提前批次志愿,艺术类本科提前批次志愿,普通类本科批次志愿,以及高校专项计划、综合评价招生(B类高校)、高水平运动队志愿。
第二阶段:7月27日至28日(截止时间为7月28日17:00),填报专科院校专业组志愿,包括普通类专科批次志愿(含定向培养军士志愿)、体育类专科批次志愿和艺术类专科批次志愿。凡第一阶段未被录取且符合条件的考生均可填报。
未分类
2025江苏高考志愿填报几点结束?
24小时热点资讯 发表于2025-06-27 浏览8 评论0
2025江苏高考志愿填报几点结束?
志愿填报时间
第一阶段:6月28日至7月2日(截止时间为7月2日17:00),填报本科院校专业组志愿,包括普通类本科提前批次志愿,体育类本科提前批次志愿,艺术类本科提前批次志愿,普通类本科批次志愿,以及高校专项计划、综合评价招生(B类高校)、高水平运动队志愿。
第二阶段:7月27日至28日(截止时间为7月28日17:00),填报专科院校专业组志愿,包括普通类专科批次志愿(含定向培养军士志愿)、体育类专科批次志愿和艺术类专科批次志愿。凡第一阶段未被录取且符合条件的考生均可填报。
未分类
2025徐州高考志愿填报系统什么时候关闭?
24小时热点资讯 发表于2025-06-27 浏览7 评论0
2025徐州高考志愿填报系统什么时候关闭?
江苏省高考志愿填报具体时间:
第一阶段:6月28日至7月2日(截止时间为7月2日17:00),填报本科院校专业组志愿,包括普通类本科提前批次志愿,体育类本科提前批次志愿,艺术类本科提前批次志愿,普通类本科批次志愿,以及高校专项计划、综合评价招生(B类高校)、高水平运动队志愿。
第二阶段:7月27日至28日(截止时间为7月28日17:00),填报专科院校专业组志愿,包括普通类专科批次志愿(含定向培养军士志愿)、体育类专科批次志愿和艺术类专科批次志愿。凡第一阶段未被录取且符合条件的考生均可填报。
未分类
2025南京幼升小和小升初摇号结果指南(时间+入口+流程)
24小时热点资讯 发表于2025-06-27 浏览8 评论0
南京幼升小和小升初摇号结果查询时间表
| 时间 | 内容 | 查询入口 |
| 6月28日 | 同步进行民办学校、热点公办学校和南京外国语学校电脑随机派位,并公布结果。 | 学校公示,现场查看 |
未分类
广东省普通高考志愿填报辅助系统官网+使用参考流程
24小时热点资讯 发表于2025-06-27 浏览6 评论0
为更好地服务我省高考考生志愿填报工作,广东省教育考试服务中心在广东省教育考试院的指导下,专门开发了广东省2025年普通高考志愿填报辅助系统(下称系统),免费向广大考生提供一站式、多维度的志愿填报信息查询服务。
❤系统网址及使用对象
系统网址:https://zyfz.eesc.com.cn
使用对象:参加广东省2025年普通高考的考生,不含依学业水平考试成绩录取、3+证书考试考生。
❤志愿填报辅助系统有何功能?
未分类
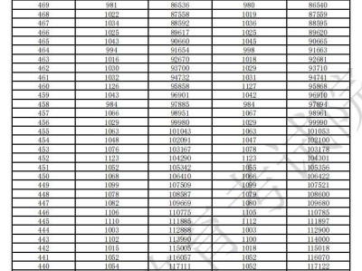
广东省2025年高考普通类(历史)分数段统计表
24小时热点资讯 发表于2025-06-27 浏览8 评论0
广东省2025年普通高校招生考生填报志愿时间为6月28日-7月4日,为便于考生填报志愿,确保志愿填报工作顺利进行,现将我省今年普通高考各科类各分数段成绩数据予以公布。广东省2025年高考普通类(历史)分数段统计表来了:
未分类
广东省2025年高考普通类(物理)分数段统计表
24小时热点资讯 发表于2025-06-27 浏览6 评论0
广东省2025年普通高校招生考生填报志愿时间为6月28日-7月4日,为便于考生填报志愿,确保志愿填报工作顺利进行,现将我省今年普通高考各科类各分数段成绩数据予以公布。广东省2025年高考普通类(物理)分数段统计表:
未分类
广东省2025年普通高考体育类总分分数段统计表
24小时热点资讯 发表于2025-06-27 浏览6 评论0
广东省2025年普通高校招生考生填报志愿时间为6月28日-7月4日,为便于考生填报志愿,确保志愿填报工作顺利进行,现将我省今年普通高考各科类各分数段成绩数据予以公布。广东省2025年普通高考体育类总分分数段统计表:
未分类
2025东莞大朗镇中心小学和实验小学新增学位电脑派位录取结果
24小时热点资讯 发表于2025-06-27 浏览6 评论0
2025东莞大朗镇中心小学和实验小学新增学位电脑派位录取结果
为全力保障公办小学学位供需平衡,充分挖掘公办学校资源,我镇结合2025年秋季招生工作实际需要,在满足中心小学和实验小学原有学区适龄户籍儿童(含长幼同校)的学位需求情况下,面向大朗镇符合条件的户籍生增加提供中心小学和实验小学部分一年级学位共90个,其中大朗镇中心小学65个,大朗镇实验小学25个。经电脑派位、家长确认后,符合录取学生(含顺延补录)已确定。现将录取结果予以公示。
备注:已放弃本次派位学位的适龄户籍学生,将不再作调整,继续按原申请公办学位志愿进行统筹安排。
未分类
2025东莞洪梅镇中心幼儿园招生录取名单公示
24小时热点资讯 发表于2025-06-27 浏览8 评论0
洪梅镇中心幼儿园2025年秋季招生录取名单公示
根据《东莞市洪梅镇中心幼儿园2025年秋季招生方案》有关要求,经线下报名、资料审核等程序,现将洪梅镇中心幼儿园2025年秋季招生录取名单公布如下(详见附件)。
附件
▲扫描二维码查看小班级报名审核通过名单
未分类
2025年重庆垫江县五所普通高中录取分数线公布
24小时热点资讯 发表于2025-06-27 浏览6 评论0
2025年6月26日,垫江中学、实验中学、垫江一中三所重点高中因学生报到注册好,只开展了报考学前教育公费师范生录取,其余未补录。
垫江二中、垫江三中、垫江四中、垫江五中、垫江八中等五所普通高中开展了高一新生录取工作,现将录取分数线公布如下:
垫 江 二 中 407分
各类特长生文化成绩最低控制线:373分。
垫 江 三 中 360分
未分类
2025年北京高考志愿填报指南(入口+时间+步骤)
24小时热点资讯 发表于2025-06-27 浏览8 评论0
2025年北京高考志愿填报指南(入口+时间+步骤)
高考志愿填报入口:https://www.gaokaofuwu.com.cn/ceesignupweb/page/login.html
1.志愿填报时间安排如下:
未分类
北京高考志愿填报登录网址
24小时热点资讯 发表于2025-06-27 浏览6 评论0
北京高考志愿填报登录网址:https://www.gaokaofuwu.com.cn/ceesignupweb/page/login.html
志愿填报时间安排如下
未分类
2025年银川师范大学计划招多少人?
24小时热点资讯 发表于2025-06-27 浏览8 评论0
学校官网:(点击查看)
一、宁夏师范法学简介:
宁夏师范大学隶属宁夏回族自治区人民政府管理,是宁夏唯一的师范类本科高校。学校前身为1975年建立的六盘山大学;2006年经教育部批准更名为宁夏师范学院,升格为本科高校;2024年经教育部批准更名为宁夏师范大学。2012年获批“服务国家特殊需求人才培养项目”——学士学位授予单位开展培养硕士专业学位研究生试点工作单位,并于2013年开始招生。2013年获地方公费师范生培养资格。2018年获批硕士学位授予单位。2022年入选“教育部师范教育协同提质计划”,2023年被自治区人民政府学位办列入2024-2026年新增博士学位授予立项建设单位。
未分类
2025金昌市中考成绩查询平台登录入口
24小时热点资讯 发表于2025-06-27 浏览7 评论0
方式一:金昌智慧教育平台
通过金昌智慧教育平台(https://jinchang.gsedu.cn/),点击“中考成绩查询”栏目,进入金昌市中考招生录取系统,按提示输入信息。用户名:学籍号;默认密码:准考证号(首次登录必须更改密码)。
方式二:金昌市中考招生录取系统
在浏览器地址栏输入https://www.jcsjyj.cn/zkzs,进入金昌市中考招生录取系统,按提示输入信息。用户名:学籍号;默认密码:准考证号(首次登录必须更改密码)。