×

2025东莞桥头镇非户籍适龄儿童少年积分入读公办学校录取名单

未分类

2025东莞桥头镇非户籍适龄儿童少年积分入读公办学校录取名单

24小时热点资讯 24小时热点资讯 发表于2025-06-23 浏览6 评论0

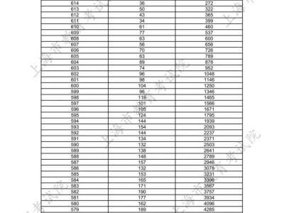
  桥头镇2025年非户籍适龄儿童少年积分入读公办学校录取名单公布

  根据《东莞市非户籍适龄儿童少年接受义务教育实施办法》(东府〔2023〕26号)《东莞市非户籍适龄儿童少年积分入读公办义务教育学校实施方案》(东府〔2023〕27号)等有关文件精神及市教育局积分入学日程安排,根据申请人的积分、排名、填报的志愿以及学位供给情况,按照我镇积分入学的录取原则进行录取,现将非户籍适龄儿童少年积分入读公办学校录取名单公布如下(扫描文末二维码):

  一、注册须知

2025深圳市初中学考什么时候出成绩(附查询入口)

未分类

2025深圳市初中学考什么时候出成绩(附查询入口)

24小时热点资讯 24小时热点资讯 发表于2025-06-23 浏览8 评论0

  2025深圳市初中学业水平考试什么时候出成绩

  查询时间

  6月29日-7月16日统一评卷,复核及公布成绩

  深圳市初中学业水平考试成绩查询入口

  点击进入》》》初二学业水平考试成绩查询入口

  

  证件号为报名时所填写的身份证件号码,若后6位中有字母,须填写大写字母,且不包含任何符号。

2025呼和浩特幼儿园摇号录取结果公布时间+查询入口

未分类

2025呼和浩特幼儿园摇号录取结果公布时间+查询入口

24小时热点资讯 24小时热点资讯 发表于2025-06-23 浏览7 评论0

  2025呼和浩特幼儿园摇号录取结果

  公布时间

  2025年6月24日16:00

  电脑随机录取(6月24日):符合条件的适龄幼儿人数超出招生计划人数,采取电脑随机录取,具体时间关注公众号通知。

  查询方式:

  线上查询:家长登录蒙速办APP报名系统即可查询录取结果。

  线下查询:部分幼儿园公示栏内将同步公示招录结果。

未分类

2025四川省绵阳市中考成绩什么时候可以查

24小时热点资讯 24小时热点资讯 发表于2025-06-23 浏览7 评论0

  中考成绩在22号12:00之前公布

  查询入口:点击进入(最好用微信打开哦) 

  绵阳中考录取分数线

  2025年,绵阳市中考总分为900分,全市普通高中学校最低录取分数控制线和各普通高中学校录取分数线如下。

  一、全市普通高中学校最低录取分数控制线为565分

  二、普通高中学校录取分数线

  (一)提前录取批次

  北川中学绵中班:804分

  平武中学南山班:754分

未分类

2025咸阳中考成绩查询时间+查询入口

24小时热点资讯 24小时热点资讯 发表于2025-06-23 浏览6 评论0

  2025咸阳中考成绩查询时间:7月16日12时

  2025咸阳中考成绩查询入口:http://61.185.20.125:9900/

  志愿填报:

  志愿填报时间:7月18日8时至7月20日12时

  报考普通高中的考生均须在网上填报志愿。初中学业水平考试成绩公布之后,考生在全市2025年普通高中考试招生工作日程安排(见附件2)规定时间内登录咸阳市教育局网(http://jyj.xianyang.gov.cn/)填报志愿。各类志愿一次性填报,分类予以录取,实行平行志愿录取模式。填报志愿之前,考生要认真阅读填报说明。未在网上填报志愿者,普通高中不予录取。

未分类

2025年陕西省普通高中学业水平合格性考试成绩复核(时间+地点+材料)

24小时热点资讯 24小时热点资讯 发表于2025-06-23 浏览6 评论0

  2025年陕西省普通高中学业水平合格性考试成绩复核(时间+地点+材料)

  (一)考生申请。成绩发布后,考生如对本人当次考试成绩有异议,应下载《陕西省普通高中学业水平合格性考试成绩复核申请表》(以下简称《申请表》,表样见附件),并按要求认真填写表格内相关内容,于6月30日16∶00前持本人身份证、准考证,向其学籍所在学校或报名所在县级教育考试机构提交《申请表》,逾期不再受理。其中,普通高中及中职学校在校生向其学籍所在学校提交《申请表》,经学校审核后统一报送县级教育考试机构;其他类型考生直接向报名所在县级教育考试机构提交《申请表》。未按规定的时间、程序提出的复核申请,不予受理。

未分类

2025年高考云咨询周活动时间+内容+入口

24小时热点资讯 24小时热点资讯 发表于2025-06-23 浏览7 评论0

  2025年高考云咨询周活动时间+内容+入口

  活动时间:6月22日至28日

  活动入口:教育部全国普通高校招生云咨询周_阳光高考

  活动期间,平台将提供文字问答和视频直播两种方式,文字问答咨询时间为9点至17点,鼓励高校积极采用视频直播方式开展招生宣传和咨询,为考生、家长提供准确权威、周到细致的志愿填报方法指导和咨询服务。

  【安徽省教育招生考试院】

  官网地址: https://www.ahzsks.cn

未分类

2025武汉小学初中摇号结果查询时间表最新

24小时热点资讯 24小时热点资讯 发表于2025-06-23 浏览7 评论0

  2025武汉小学初中摇号结果查询时间表最新

  武汉市武钢实验学校查询时间:6月30日(周一)16:00后

  查询方式:

  1.学生监护人可以登录“武汉市中小学入学招生学籍一体化管理平台”查询电脑派位结果;

  2.关注武汉市青山区教育局微信公众号,查看电脑派位录取名单;

  3.武钢实验学校将张榜公布电脑派位录取名单,并以电话或短信的方式通知电脑派位录取学生报到事宜(咨询电话:武汉市武钢实验学校027—86332056、武汉市青山区教育局027-86330381)。

未分类

2025年河北高考出分时间+官方查分通道

24小时热点资讯 24小时热点资讯 发表于2025-06-23 浏览7 评论0

  河北高考成绩预计6月25日左右公布。届时,考生可通过河北省教育考试院官网、官微、河北招生考试信息服务网、“掌上考试院”APP等官方渠道查询本人成绩。

  高考成绩查询途径如下:

  1.河北省教育考试院网站

  2.河北招生考试信息服务网

  3、河北省教育考试院微信公众号

  相关阅读:

  河北省教育考试院提醒广大考生和家长,在成绩发布、志愿填报、高考录取等各个阶段,要增强安全意识,妥善保管志愿填报登录密码等关键信息,谨防信息泄露。要提高警惕,明辨谣言,从正规渠道了解招考政策信息,谨防上当受骗。

未分类

台州中小学暑假放假时间2025年

24小时热点资讯 24小时热点资讯 发表于2025-06-23 浏览9 评论0

  台州中小学暑假放假时间2025年

  时间安排

  全市高中期末考试时间为6月25日至6月27日,7月7日暑假开始。幼儿园、小学、初中和中职学校由各地结合实际参照执行。

  9月1日,全市各中小学(幼儿园)秋季学期正式开学。

  合理安排暑期生活

  坚持劳逸结合,合理分配学习、锻炼与休闲娱乐的时间。引导孩子加强自我管理,合理制订学习计划,认真完成暑假作业,并进行查漏补缺和预习。鼓励孩子多阅读,加强阅读训练,优化阅读方法,提升阅读理解能力和语言表达能力。督促孩子进行适量的体育锻炼,通过体育运动强身健体、调节情绪、锤炼意志。鼓励孩子培养兴趣爱好,探索和发展自己的特长,提升综合素质,拓宽发展空间。

未分类

2025台州小学暑假放假开始时间是几号

24小时热点资讯 24小时热点资讯 发表于2025-06-23 浏览6 评论0

  2025台州小学暑假放假开始时间是几号

  开始时间:7月7日暑假开始

  全市高中期末考试时间为6月25日至6月27日,7月7日暑假开始。幼儿园、小学、初中和中职学校由各地结合实际参照执行。9月1日,全市各中小学(幼儿园)秋季学期正式开学。

  加强暑期安全防范

  暑期,孩子的自由活动时间增加,各类安全风险也在提高。家长要增强安全意识,承担好假期对孩子的监护责任,加强防传染疾病、防溺水、防雷电、防台风、防火患、防触电、防诈骗、防邪教非法宗教、交通安全和食品卫生等安全知识教育,提高孩子的安全意识和自防自护自救能力。尤其要提醒孩子牢记防溺水“六不”,即:不私自下水游泳;不擅自与他人结伴游泳;不在无家长或教师带领的情况下游泳;不到无安全设施、无救援人员的水域游泳;不到不熟悉的水域游泳;不擅自下水施救。此外,家长要充分了解孩子所参加的研学或夏令营的具体课程内容,避免上当受骗。

未分类

2025台州初中什么时候放暑假

24小时热点资讯 24小时热点资讯 发表于2025-06-23 浏览6 评论0

  2025台州初中什么时候放暑假?

  7月7日暑假开始。幼儿园、小学、初中和中职学校由各地结合实际参照执行。

  全市高中期末考试时间为6月25日至6月27日,7月7日暑假开始。幼儿园、小学、初中和中职学校由各地结合实际参照执行。

  9月1日,全市各中小学(幼儿园)秋季学期正式开学。

  合理安排暑期生活

  坚持劳逸结合,合理分配学习、锻炼与休闲娱乐的时间。引导孩子加强自我管理,合理制订学习计划,认真完成暑假作业,并进行查漏补缺和预习。鼓励孩子多阅读,加强阅读训练,优化阅读方法,提升阅读理解能力和语言表达能力。督促孩子进行适量的体育锻炼,通过体育运动强身健体、调节情绪、锤炼意志。鼓励孩子培养兴趣爱好,探索和发展自己的特长,提升综合素质,拓宽发展空间。

2025年扬州高考成绩查询指引(公布时间+查询方式)

未分类

2025年扬州高考成绩查询指引(公布时间+查询方式)

24小时热点资讯 24小时热点资讯 发表于2025-06-23 浏览6 评论0

  2025年扬州高考成绩查询指引(公布时间+查询方式)

  查询时间:6月24日20:00后

  查询方式:考生可以通过省教育考试院网站、微信公众号“江苏招生考试”等途径查询高考成绩。

  查询流程

  1、江苏省教育考试院查询

  进入省教育考试院网站,点击首页的“江苏省2025年平安高考”,找到高考查分选项进入,输入相关信息即可进入查询。

  

未分类

常州中考成绩什么时间公布?几点开始?

24小时热点资讯 24小时热点资讯 发表于2025-06-23 浏览8 评论0

  一、2025年常州中考成绩什么时间公布?具体时间

  2025年常州中考成绩查询时间:2025常州中考成绩预计于2025年6月底公布,可参考往年常州中考成绩查询时间,小编持续更新。

  2024年常州中考成绩查询时间:2024年6月30日12:00。

  2023年常州中考成绩查询时间:2023年6月30日12:00。

  2022年常州中考成绩查询时间:2022年6月30日14:00。

  2021年常州中考成绩查询时间:2021年7月1日上午8:00。

未分类

2025南宁十个勤天演唱会门票开票时间

24小时热点资讯 24小时热点资讯 发表于2025-06-23 浏览6 评论0

  等枝桠成繁花-十个勤天巡回演唱会南宁站

  “十个勤天”是由十位成员陈少熙、何浩楠、蒋敦豪、李耕耘、李昊、鹭卓、王一珩、赵小童、卓沅、赵一博共同创立的农业公司,全称为十个勤天(杭州)农业发展有限责任公司。十位性格各异的少年以锄为笔铸就了一个未来,开启了故事的篇章,并创立了属于他们的“十个勤天”。

  演出时间:

  2025.07.18-07.19

  演出场馆:

  南宁市 | 广西体育中心体育场

  演出门票:

2025重庆合川鹫峰峡漂流开园时间+游玩攻略+交通攻略

未分类

2025重庆合川鹫峰峡漂流开园时间+游玩攻略+交通攻略

24小时热点资讯 24小时热点资讯 发表于2025-06-23 浏览7 评论0

  游客朋友们,重庆人夏天的快乐回来了 ——鹫峰峡漂流6月28日正式开园!全程尖叫不断,浪花直接拍脸,比过山车还过瘾!找个大热天约上搭子冲就完事儿!

  这个夏天,别再困在空调房里 —— 来合川鹫峰峡漂流,在超高落差中释放压力,在涞滩古镇的烟火气里治愈身心。备好你的尖叫声和胃,让重庆的夏天,从一场酣畅淋漓的漂流开始!

  基本信息

  地址:重庆合川区涞滩镇涞龙路3号

  入园时间:14:00~15:30(周一至周五);13:30~15:30(周六至周日)

2025呼和浩特回民区幼儿园摇号录取结果查询官网入口

未分类

2025呼和浩特回民区幼儿园摇号录取结果查询官网入口

24小时热点资讯 24小时热点资讯 发表于2025-06-23 浏览8 评论0

  2025呼和浩特回民区幼儿园摇号录取结果查询

  回民区第一幼儿园

  电脑随机录取时间:6月24日上午

  公布录取结果时间:6月24日下午

  录取通知书领取时间:6月26、27日上午:8:30--12:00 下午:2:30--6:00

  回民区第二幼儿园

  电脑随机录取时间:6月24日上午

  公布录取结果时间:6月24日下午

  领取录取通知书时间:6月25日上午9:00携带幼儿与监护人的户口簿原件、复印件,预防接种本原件来园领取。

未分类

昆理工附中高中2025年招生400人+咨询电话

24小时热点资讯 24小时热点资讯 发表于2025-06-23 浏览6 评论0

  昆理工附中高中2025年招生400人+咨询电话

  招生计划:

  面向昆明市(含郊县)招收优秀初中毕业生,计划招收400人,含科技实验班、平行普通班、专业生涯班(包括日语方向,民航飞行员预备生)。

  学费:23000元/学年/生

  住宿费:800-1600元/学年/生

  咨询电话:0871-63629847、0871-63629883

  学校地址:昆明市五华区教场中路314号。

  昆明浙附中学

未分类

2025年昆明文理附中高中招生260人+学费+住宿费

24小时热点资讯 24小时热点资讯 发表于2025-06-23 浏览6 评论0

  2025年昆明文理附中高中招生260人+学费+住宿费

  招生计划:高一260人。

  学费:高中22000元/年;

  学费:高中22000元/年。

  咨询电话:0871-65843866、18088450871(梁老师)、13888141640(张老师)、13708432120(陈老师)

  学校地址:昆明市五华区龙泉路岗头村627号(昆明文理学院龙泉路校区内)。

  云南昌乐实验中学

  招生计划:2025年计划招生400人。