×

未分类

淄博原山集团景区端午儿童节免票优惠活动

24小时热点资讯 24小时热点资讯 发表于2025-05-26 浏览14 评论0

  淄博原山集团景区端午儿童节免票优惠活动

  儿童节与端午节即将接踵而来,童真时光遇见传统佳节一场不远的周边自驾游岂不是一个好选择,节日期间原山景区惊喜享不停!和孩子一起走进大自然感受旅行的美好吧!

  开放时间:8:00-17:00(供参考)

  景区地址

  原山国家森林公园:淄博市博山西南部颜山公园路4号

  如月湖湿地公园:淄博市博山区南过境路五公里处

  原山白石洞景区:淄博市博山区西域城村以西

海南特岗教师招聘最新消息2025(附招聘公告)

未分类

海南特岗教师招聘最新消息2025(附招聘公告)

24小时热点资讯 24小时热点资讯 发表于2025-05-26 浏览15 评论0

  海南省2025年农村义务教育阶段学校特设岗位教师招聘最新消息

  2025年5月13日,教育厅发布《关于做好2025年农村义务教育阶段学校教师特设岗位计划实施工作的通知》,其中提到:全国计划招聘特岗教师2.1万名,海南计划招聘特岗教师500人。

  

  2025年2月22日,海南省考试局发布《海南省考试局2025年考试日历》,其中提到:2025年海南省特岗教师招聘考试时间为7月上旬,具体时间未定,大家可以先行备考。

未分类

2025赣州市事业单位资格审查

24小时热点资讯 24小时热点资讯 发表于2025-05-26 浏览14 评论0

  赣州市事业单位招聘进入关键阶段!资格审查+面试安排全指南,速查!

  各位小伙伴注意啦!

  赣州市事业单位2025年统一公开招聘,

  笔试成绩已经发布,

  资格审查和面试环节紧随其后,正式启动!

  本次资格审查和面试时间已定,

  大家务必看清时间、带齐材料,

  别因为粗心大意错失机会!

  下面为大家划重点、讲流程、列清单,务求一文全懂!

  一、资格审查环节详解

未分类

赣东学院2025年公开招聘教师公告(时间+条件+岗位)

24小时热点资讯 24小时热点资讯 发表于2025-05-26 浏览16 评论0

  赣东学院2025年公开招聘教师公告

  赣东学院坐落在素有“才子之乡、文化之邦”美誉的江西抚州,是经教育部批准设置的全日制公办普通本科高校。校区占地面积1028亩,建筑面积33万平方米。校园生态环境优美,人文气息浓厚,配套设施健全,拥有功能齐备的教学场所、现代前沿的科技实验室、智能先进的工程实训基地,全面推行信息化、数字化、智能化管理。图书馆纸质藏书32万册,电子书128万册。当前,学校共设有应用工程学院、信息工程学院、机械与电子工程学院、经济管理学院、人文学院、基础教学部和马克思主义学院等7个教学单位,35个本科专业,涵盖工、理、管、经、文、法、教、艺八大学科门类,目前学校全日制在校本科生7600余人。

未分类

2025年南昌青山湖区财政局面向社会公开招聘工作人员公告

24小时热点资讯 24小时热点资讯 发表于2025-05-26 浏览13 评论0

  2025年青山湖区财政局面向社会公开招聘工作人员公告

  现因工作需要,经区政府研究决定,青山湖区财政局面向社会公开招聘13名编外工作人员,具体招聘事项如下:

  一、招聘岗位及人数

  会计代理记账员岗:13名,主要从事代理行政事业单位的账务处理等工作。

  二、报考对象和条件

  1、基本要求:

  (1)遵守宪法和法律,拥护中国共产党的基本路线,作风正派,品行良好,无违法违纪记录;

  (2)能吃苦耐劳,服从工作安排;

南昌经开产业控股集团有限公司2025年公开招聘公告(条件+岗位)

未分类

南昌经开产业控股集团有限公司2025年公开招聘公告(条件+岗位)

24小时热点资讯 24小时热点资讯 发表于2025-05-26 浏览17 评论0

  南昌经开产业控股集团有限公司2025年公开招聘公告

  公司简介

  南昌经开产业控股集团有限公司(简称“经开产控集团”),成立于2017年1月19日,是南昌经济技术开发区管委会直属国有独资企业,注册资本50亿元,主体信用评级AA+。

  为加快推进经开产控集团高质量发展进程,以人才力量推动集团市场化转型发展,根据工作需要,经开产控集团面向社会公开招聘工作人员。现将招聘有关事宜公告如下。

  招聘岗位及资格条件

  (一)招聘岗位、人数及要求

未分类

江铜产融(金瑞期货)2025年度第二批次社会招聘公告(条件+岗位)

24小时热点资讯 24小时热点资讯 发表于2025-05-26 浏览14 评论0

  江铜产融(金瑞期货)2025年度第二批次社会招聘公告

  金瑞期货股份有限公司因发展需要,现面向社会开展公开招聘,具体事项公告如下:

  一、公司简介

  江西铜业集团有限公司(简称江铜集团)成立于1979年,省属国有企业,是我国有色金属行业特大型集团公司,公司主营业务包括铜、金、银、铅、锌等多金属矿业开发以及支持矿业发展的贸易、金融、新材料、装备制造、数字经济,连续12年跻身《财富》世界500强,2024年最新排名157位。江西铜业集团产融控股有限公司(以下简称“江铜产融”)是江铜集团全资控股、集资本运作与产业培养于一身的综合金融管理平台,2021年12月在江西铜业进出口有限公司基础上更名设立,注册资本100亿元,资产总规模超800亿元。

江铜产融(江铜投资和江铜基金)2025年度社会招聘公告

未分类

江铜产融(江铜投资和江铜基金)2025年度社会招聘公告

24小时热点资讯 24小时热点资讯 发表于2025-05-26 浏览15 评论0

  江铜产融(江铜投资和江铜基金)2025年度社会招聘公告

  江西铜业集团产融控股有限公司因发展需要,现面向社会开展公开招聘,具体事项公告如下:

  一、公司简介

  江西铜业集团有限公司(简称江铜集团)成立于1979年,江西省属国有企业,是我国有色金属行业特大型集团公司,公司主营业务包括铜、金、银、铅、锌等多金属矿业开发以及支持矿业发展的贸易、金融、新材料、装备制造、数字经济,连续12年跻身《财富》世界500强,2024年最新排名157位。

未分类

江西省银山矿业2025年度第二批次校园招聘公告

24小时热点资讯 24小时热点资讯 发表于2025-05-26 浏览15 评论0

  银山矿业2025年度第二批次校园招聘公告

  江西铜业集团银山矿业有限责任公司因发展需要,现面向社会开展公开招聘,具体事项公告如下:

  一、公司简介

  江西铜业集团有限公司(简称江铜集团)成立于1979年,省属国有企业,是我国有色金属行业特大型集团公司,公司主营业务包括铜、金、银、铅、锌等多金属矿业开发以及支持矿业发展的贸易、金融、新材料、装备制造、数字经济,连续12年跻身《财富》世界500强,2024年最新排名157位。

  江西铜业集团银山矿业有限责任公司(简称银山矿业公司)为江西铜业股份有限公司全资子公司,主要产品为铜、铅、锌、金、银、硫,位于江西省德兴市银城街道东北方向约3公里处,是一座现代化城市智慧矿山、全国绿色矿山,矿产资源丰富,目前生产规模为铜13000吨/日,铅锌500吨/日。

未分类

2025十个勤天南昌演唱会演出须知(演出时长+入场时间)

24小时热点资讯 24小时热点资讯 发表于2025-05-26 浏览15 评论0

  十个勤天巡回演唱会南昌站观演须知

  演出时长

  约150分钟(以现场为准)

  入场时间

  请于演出前约120分钟入场

  最低演出曲目

  20

  最低演出时长

  约150分钟(以现场为准)

  禁止携带物品

  由于安保和版权的原因,大多数演出、展览及比赛场所禁止携带食品、饮料、专业摄录设备、打火机等物品,请您注意现场工作人员和广播的提示,予以配合。

未分类

2025十个勤天巡回演唱会南昌站(时间+地点+门票+座位图+歌单)

24小时热点资讯 24小时热点资讯 发表于2025-05-26 浏览16 评论0

  【南昌】等枝桠成繁花-十个勤天巡回演唱会南昌站

  “十个勤天”是由十位成员陈少熙、何浩楠、蒋敦豪、李耕耘、李昊、鹭卓、王一珩、赵小童、卓沅、赵一博共同创立的农业公司,全称为十个勤天(杭州)农业发展有限责任公司。十位性格各异的少年以锄为笔铸就了一个未来,开启了故事的篇章,并创立了属于他们的“十个勤天”。

  演出时间

  2025.07.05-07.06 19:00

  演出场馆

  南昌市 | 南昌国际体育中心体育场

未分类

2025义乌市第七届产投杯大陈龙舟赛时间地点

24小时热点资讯 24小时热点资讯 发表于2025-05-26 浏览13 评论0

  2025义乌市第七届产投杯大陈龙舟赛时间地点

  (一)比赛时间

  2025年5月31日(周六)8:00—17:00

  (二)比赛地点

  大陈镇红旗村(丁店)大陈江

  (三)活动内容

  专业男子组、专业女子组300米竞速赛

  业余组300米表演赛

  (四)活动亮点

  本次龙舟赛将在大陈镇红旗村(丁店)大陈江举行,比赛将使用12人龙舟,300米直道。比赛分为专业男子组、专业女子组以及业余组,既具有竞技性,又具有观赏性。活动当天,还将有系列精彩节目在现场展示。

未分类

2025浦江县檀溪镇第四届龙舟赛时间地点

24小时热点资讯 24小时热点资讯 发表于2025-05-26 浏览12 评论0

  2025浦江县檀溪镇第四届龙舟赛时间地点

  2025年浦江县“村游趣檀溪”系列活动之第四届“农商杯”端午龙舟赛

  (一)比赛时间

  5月31日上午9:30

  (二)比赛地点

  浦江县檀溪镇壶源江潘周家段

  (三)其他活动

  古村游园会: 顺备堂(茶艺)--新光裕堂(非遗美食)--旧光裕堂(中医养生)--麟振堂(端午传统游戏)

  (四)活动亮点

  2025年“村游趣檀溪”系列活动之第四届“农商杯”端午龙舟赛将于5月31日启幕,在300米的直道上竞速,上演水上“速度与激情”。同步开启的还有古村游园会,让你在白墙黛瓦间邂逅千年端午的诗意与热烈。

2025中山神湾镇幼升小现场报名确认(时间+地点+材料清单)

未分类

2025中山神湾镇幼升小现场报名确认(时间+地点+材料清单)

24小时热点资讯 24小时热点资讯 发表于2025-05-26 浏览14 评论0

  2025中山神湾镇幼升小现场报名确认(时间+地点+材料清单)

  a.在本镇公、民办幼儿园就读的符合招生条件的神湾镇户籍学生,由原就读幼儿园于6月13日前统一审核;请家长在完成网上报名后,在规定时间内将相关资料交到班主任处审核(验核材料详见附件2);

  b.神湾镇户籍人员的非神湾户籍子女、跨镇街就读生、政策性优待生、不在神湾镇就读幼儿园但符合入学条件的学生、积分入围学生,请家长在完成网上报名后,在规定时间内(6月14日当天)携带相关资料(验核材料详见附件2),到相应招生片区学校现场办理报名确认(如申请跨学区入学的学生家长到所选片区学校现场办理报名确认)。

2025年深圳红立方端午节开放吗?

未分类

2025年深圳红立方端午节开放吗?

24小时热点资讯 24小时热点资讯 发表于2025-05-26 浏览11 评论0

  2025年深圳红立方端午节开放吗:正常开放

  常规开放时间:

  深圳·红立方开馆时间:周二至周四:9:30-18:00(17:30停止入馆),周五至周日:9:30-21:30(21:00停止入馆)。周一闭馆(法定节假日除外)

  预约方式:在“深圳红立方”微信公众号点击主页菜单栏“参观服务”-“预约参观”即可进入预约页面

  

天津泰达航母公园六一端午米花节参观时间2025

未分类

天津泰达航母公园六一端午米花节参观时间2025

24小时热点资讯 24小时热点资讯 发表于2025-05-26 浏览14 评论0

  ➤➤天津泰达航母公园六一端午米花节参观时间2025

  参观时间:9:00-18:00

  门票价格

  成人票:160元/人,1.5rn(含)以上游客

  儿童/消防员票:80元/人,

  1.身高1.2米-1.5米儿童(含1.2米,不含1.5米)

  2.在职消防救援人员(凭国家综合性消防救援队伍消防员证原件、干部证原件)。

  购票入口

  点击进入

  演出时间表

2025海南华侨中学高一自主招生拟录取名单(附下载入口)

未分类

2025海南华侨中学高一自主招生拟录取名单(附下载入口)

24小时热点资讯 24小时热点资讯 发表于2025-05-26 浏览13 评论0

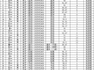
  海南华侨中学2025年秋季高一自主招生公告(三)

  根据《海南华侨中学2025年秋季高一自主招生工作方案》,按照公平、公开、公正,择优录取,宁缺毋滥的原则,我校于5月24日严格按照程序组织了自主招生考试,根据考评结果及生源情况,并结合我校实际情况,经学校自主招生考试领导小组审核通过,现将2025年秋季高一年级自主招生考试拟录取学生名单(见附件) 予以公示。

  1.公示时间:2025年5月25日至5月30日(5个工作日)。

  2.咨询地点:海口市龙华区海秀中路海南华侨中学教务处

漳州漳浦县2025秋季公办幼儿园招生方式

未分类

漳州漳浦县2025秋季公办幼儿园招生方式

24小时热点资讯 24小时热点资讯 发表于2025-05-26 浏览14 评论0

  漳州漳浦县2025秋季公办幼儿园招生方式

  公办幼儿园原则上采用随机派位或者自主招生的方式进行招生。县直幼儿园采用随机派位进行招生;其他公办幼儿园与当地政府协商后,可采用自主招生或者随机派位进行招生。

  随机派位办法:如果登记的人数少于招生计划数,则全部录取,如果登记的人数多于招生计划数,则采取随机派位获取学位。

  漳浦县2025年秋季公办幼儿园招生计划表