未分类
2025长沙宁乡公办初中学区划分+计划
24小时热点资讯 发表于2025-05-16 浏览25 评论0
宁乡市城区(园区)公办小学招生区域与招生计划:
未分类
重庆巴南小升初报名材料2025
24小时热点资讯 发表于2025-05-16 浏览25 评论0
未分类
2025上海三校生高考查分时间+查分官网入口
24小时热点资讯 发表于2025-05-16 浏览13 评论0
2025上海三校生高考查分
1. 查分时间
5月19日(星期一)14:00至5月23日(星期五)16:00
2. 查分平台
上海招考热线网站(www.shmeea.edu.cn)“成绩查询”栏目
未分类
东莞银瓶山森林公园游玩攻略(开园时间+地图+交通)
24小时热点资讯 发表于2025-05-16 浏览25 评论0
东莞银瓶山森林公园游玩攻略
公园景点情况
银瓶山森林公园分为清溪、谢岗、樟木头三个景区。进入景区无需购买门票、无需提前预约。各景区导览图如下:
△清溪景区
未分类
2025重庆西洽会参观攻略(时间+门票+参观须知+看点)
24小时热点资讯 发表于2025-05-16 浏览25 评论0
时间:2025年5月22日-25日
地点:重庆国际博览中心
门票预约
门票:免费开放现场参观,但需要提前网上预约
预约方式:点击进入预约入口
【现场看点】
第七届西洽会继续以“新西部、新制造、新服务”为主题。邀请泰国为主宾国、四川省为常设主宾省、香港特别行政区为新设主宾城。主要包括展览展示和主题活动两大部分:
●展览展示设置综合形象、国际和区域合作、现代化产业3个展区共9个展馆,预计展览面积11万平方米,并同步设置线上展厅。
未分类
2025年云南新高考赋分规则(附计算公式)
24小时热点资讯 发表于2025-05-16 浏览24 评论0
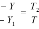
2025年云南新高考赋分规则(附计算公式)
等级赋分以30分作为赋分起点,满分为100分。
将原始成绩分为五个等级分数区间:100~86分、85~71分、70~56分、55~41分、40~30分
将考生的原始分从高到低划分为A、B、C、D、E共5个等级,各等级人数所占比例分别约为15%、35%、35%、13%和2%。
例如,原始分为75分,科目B等级的分数区间为80~64分,因此原始分75分按比例应划分到B等级,该等级赋分区间为85~71分,按照转换公式:
未分类
云南软考网官网入口(附网址)
24小时热点资讯 发表于2025-05-16 浏览25 评论0
云南软考网官网入口
官网入口:点击进入
官网网址:www.ynxr.com
成绩查询、成绩复查及证书领取
(一)成绩查询
报考人员可登录(http://www.ynxr.com)查看成绩查询通知获取查询时间及时查询成绩。
(二)成绩复查
应试人员对考试成绩有异议的,应在成绩查询通知规定时间范围内,按照规定方式提交成绩复查申请。
(三)证书领取
未分类
云南软考成绩查询入口官网
24小时热点资讯 发表于2025-05-16 浏览25 评论0
云南软考成绩查询入口官网
(一)成绩查询
报考人员可登录(http://www.ynxr.com)查看成绩查询通知获取查询时间及时查询成绩。
(二)成绩复查
应试人员对考试成绩有异议的,应在成绩查询通知规定时间范围内,按照规定方式提交成绩复查申请。
(三)证书领取
合格人员可登录(http://www.ynxr.com)查看领取证书途径和时间。一般可现场领取和申请邮寄(邮费到付,由持证人自行承担)。
未分类
2025年云南软考准考证打印时间
24小时热点资讯 发表于2025-05-16 浏览25 评论0
2025年云南软考准考证打印时间
上半年:2025年5月19日
下半年:暂未公布
成绩查询、成绩复查及证书领取
(一)成绩查询
报考人员可登录(http://www.ynxr.com)查看成绩查询通知获取查询时间及时查询成绩。
(二)成绩复查
应试人员对考试成绩有异议的,应在成绩查询通知规定时间范围内,按照规定方式提交成绩复查申请。
(三)证书领取
未分类
云南软考证书领取查询网址
24小时热点资讯 发表于2025-05-16 浏览25 评论0
云南软考证书领取查询网址
合格人员可登录(http://www.ynxr.com)查看领取证书途径和时间。一般可现场领取和申请邮寄(邮费到付,由持证人自行承担)。
云南省计算机资格考试办公室地址:昆明国家高新技术产业开发区科医路176号综合楼210室,联系电话:0871-63617131、63626248。网址http://www.ynxr.com。
成绩查询
报考人员可登录(http://www.ynxr.com)查看成绩查询通知获取查询时间及时查询成绩。
未分类
2025年云南全国计算机技术与软件专业技术资格考试报考指南
24小时热点资讯 发表于2025-05-16 浏览25 评论0
2025年云南全国计算机技术与软件专业技术资格考试报考指南
一、考试级别、资格及费用
考试级别 | 资格名称 | 考试科目 | 考试费(50元/人科) |
高级 |
未分类
2025年云南新高考赋分科目有哪些?
24小时热点资讯 发表于2025-05-16 浏览25 评论0
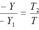
2025年云南新高考赋分科目有哪些?
2025年云南新高考赋分科目有化学、地理、思想政治、生物学4门再选科目。
赋分规则
等级赋分以30分作为赋分起点,满分为100分。
将原始成绩分为五个等级分数区间:100~86分、85~71分、70~56分、55~41分、40~30分
将考生的原始分从高到低划分为A、B、C、D、E共5个等级,各等级人数所占比例分别约为15%、35%、35%、13%和2%。赋分公式:
未分类
云南新高考是哪一年开始的?
24小时热点资讯 发表于2025-05-16 浏览25 评论0
2025年云南新高考是哪一年开始的?
2022年秋季入学的高一新生开始实施新高考模式,2025年为首届新高考年份。
新高考改革考试模式:
“3+2+1”模式
“3”为全国统考3门科目:语文、数学、外语(英语、俄语、日语、法语、德语、西班牙语中的一种,含听力);
“1”为选择性考试首选科目:物理、历史必须且只能选择1门;
“2”为选择性考试再选科目:化学、地理、思想政治、生物学四门选择两门。
未分类
2025年云南新高考考试时间安排
24小时热点资讯 发表于2025-05-16 浏览25 评论0
2025年云南新高考考试时间安排
2025年云南新高考时间是6月7日-9日
考试时间安排:
6月7日:
上午09:00-11:30:语文(考试时长150分钟)
下午15:00-17:00:数学(考试时长120分钟)
6月8日:
上午09:00-10:15:物理/历史(考试时长75分钟)
下午15:00-17:00:外语(考试时长120分钟)
6月9日:
未分类
2025年芜湖市小学生计算机水平等级测评安排
24小时热点资讯 发表于2025-05-16 浏览23 评论0
2025年芜湖市小学生计算机水平等级测评安排
一、测评方式:
测评以笔试方式进行。
二、测评使用语言:
(一)“LOGO语言”,测评内容为计算机基础知识+ LOGO语言知识。
(二)“C语言”,测评内容为计算机基础知识+C语言知识。
学生可根据自己学习计算机语言的实际情况,选择相应的计算机程序设计语言进行测评。
三、测评时间与地点:
(一)测评时间:2025年5月24日(星期六)上午9:00—11:00
未分类
2025长沙宁乡市小学入学报名材料
24小时热点资讯 发表于2025-05-16 浏览25 评论0
宁乡2025年小学入学报名材料:
入学报名按照“材料非必要不提供、信息非必要不采集”的原则,报名时上传必要证明材料。
小学新生入读公办小学提供:
①父母(或其他法定监护人)身份证;
②儿童本人及父母(或其他法定监护人)户口簿(户口簿不能体现父母与新生监护关系的需提供新生出生医学证明);
③不动产权证(或购房网签合同、不动产产籍卡等),无房无户类提供经商务工证明与宁乡市职工基本养老保险证明(居住和参保截至2025年5月31日满一年及以上)。
未分类
2025长沙宁乡市初中入学报名材料
24小时热点资讯 发表于2025-05-16 浏览24 评论0
2025年宁乡市初中新生入学材料:
入学报名按照“材料非必要不提供、信息非必要不采集”的原则,报名时上传必要证明材料。
初中新生入读公办初中提供:
①父母(或其他法定监护人)身份证;
②儿童本人及父母(或其他法定监护人)户口簿(户口簿不能体现父母与新生监护关系的需提供新生出生医学证明);
③不动产权证(或购房网签合同、不动产产籍卡等),无房无户类提供经商务工证明与宁乡市职工基本养老保险证明(居住和参保截至2025年5月31日满一年及以上);
未分类
2025金华金东区义务教育招生报名日程安排
24小时热点资讯 发表于2025-05-16 浏览25 评论0
2025金华金东区义务教育招生报名日程安排
2025年金华市区初中从5月19日开启报名平台,按照不同批次依次报名录取;小学从5月23日开启报名平台,按照不同批次依次报名录取。
2025年金华市区义务教育学校招生工作日程安排
初中:
未分类
2025杭州余杭高中自主招生最新消息
24小时热点资讯 发表于2025-05-16 浏览27 评论0
一、招生学校和招生计划
余杭区、临平区普通高中学校自主招生计划数为1005人,具体如下:
未分类
2025年余杭区、临平区部分普通高中特色班招生公告
24小时热点资讯 发表于2025-05-16 浏览22 评论0
一、招生学校和招生计划
注:杭州英特外国语学校、余杭区狄邦文理学校、杭州二中教育集团天元蕙兰学校、杭州二中树兰高级中学、信达外国语学校高中部、树兰实验学校高中部为民办学校,相关特色班收费标准见学校招生简章。